动漫A片

简体中文
新闻动态

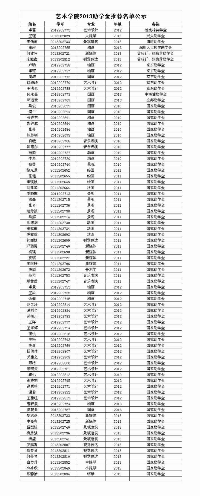
动漫A片 2013助学金推荐名单公示

 

动漫A片 2013奖学金、助学金推荐名单公示  

 

经过同学申请、班级初评、动漫A片奖助学金评定委员会审议等环节,我院奖学金、助学金推荐名单已经产生,现进行公示,如有异议,请于3天内反馈至动漫A片党团办。  

 

 

动漫A片  

20131014  

 

地址:艺术楼503办公室
电话:010-62513634